Sigma-Aldrich™ 1,3-Dipalmitoyl-2-oleoylglycerol (≥99%)

Catalog No :

CAS Number :

Brand :

Availability :

In Stock

Terms and Conditions
30-day money-back guarantee
Shipping: 2-3 Business Days

  • Pack Size

This combination does not exist.

Place Inquiry

This combination does not exist.

Specifications:
Application Analytical Chemistry
Storage Temperature -20°C
Product Type Standards Forms Solid
Product Brand Sigma-Aldrich
Product Grade Analytical grade Formula C₅₃H₁₀₀O₆

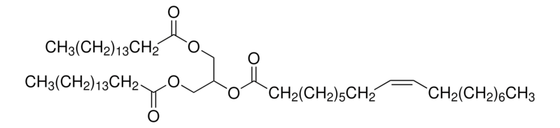
1,3-Dipalmitoyl-2-oleoylglycerol, also referred to as 1,3-Dihexadecanoyl-2-(cis-9-octadecenoyl)glycerol or TG(16:0/18:1/16:0), is a high-purity, synthetic triacylglycerol belonging to the class of neutral glycerides. It consists of palmitic acid (C16:0) esterified at the sn-1 and sn-3 positions and oleic acid (C18:1, cis-9) at the sn-2 position of the glycerol backbone.

This triglyceride is structurally representative of POP-type lipids found in cocoa butter, palm oil fractions, and vegetable fats, making it a critical reference compound in lipidomics, food chemistry, oxidative stability studies, and lipid metabolism research.

Intended Use

  • For research use only (RUO)
  • Not for diagnostic, therapeutic, or human use
  • Intended for:
    • Lipidomics and analytical chemistry
    • Food science and frying stability studies
    • Triglyceride structure–function research
    • Oxidative lipid degradation analysis
    • Metabolic and nutritional lipid research

Chemical & Physical Properties

PropertySpecification
Chemical Name1,3-Dipalmitoyl-2-oleoylglycerol
Synonym1,3-Dihexadecanoyl-2-(cis-9-octadecenoyl)glycerol
Triglyceride NotationTG(16:0/18:1/16:0)
Empirical FormulaC₅₃H₁₀₀O₆
Molecular Weight833.36 g/mol
Purity (Assay)≥99%
Lipid TypeNeutral glycerides
Functional GroupEster
AppearancePowder
Biological SourceSynthetic (organic)

Structure Information

  • SMILES:
    CCCCCCCCCCCCCCCC(=O)OCC(COC(=O)CCCCCCCCCCCCCCC)OC(=O)CCCCCCC\C=C/CCCCCCCC
  • InChI Key: FDCOHGHEADZEGF-QPLCGJKRSA-N

This molecular arrangement results in a palmitic-rich triglyceride with intermediate melting behavior, bridging characteristics between stearic-rich cocoa butter lipids and oleic-rich dairy triglycerides.

Scientific & Functional Relevance

Lipid Oxidation & Food Science

  • Widely used in oxidative lipidomics to study:
    • Triglyceride degradation pathways
    • Non-volatile oxidation products under frying conditions
  • Relevant for vegetable oil and frying fat stability research

Metabolic & Nutritional Research

  • Used in studies examining how fatty acid positioning on triglycerides influences:
    • Fat absorption
    • Lipid metabolism
    • Fat deposition efficiency

Analytical Chemistry

  • Serves as a reference standard in:
    • LC-MS / GC-MS triglyceride profiling
    • HPLC lipid separation
    • Method validation for complex lipid matrices

Applications

  • Lipidomics and metabolomics
  • Oxidative stability testing of fats and oils
  • Food chemistry and frying simulation studies
  • Cocoa butter and palm oil triglyceride research
  • Nutritional lipid metabolism studies
  • Triglyceride identification and quantification

Packaging & Available Sizes

Pack SizeSKU
10 mgD2157-10MG
50 mgD2157-50MG
100 mgD2157-100MG

Storage & Shipping

  • Shipping: Ambient
  • Recommended Storage: −20 °C
  • Protect from light, moisture, and repeated freeze–thaw cycles

Regulatory & Classification

  • NACRES: NA.25
  • UNSPSC: 12352211
  • Category: Biochemicals → Chemistry & Biochemicals

Key Advantages

  • ≥99% assay purity
  • Pharmaceutical- and research-grade consistency
  • Ideal POP-type triglyceride reference
  • Excellent reproducibility for analytical studies
  • Widely cited in lipidomics and food science literature

Sigma-Aldrich™ 1,3-Dipalmitoyl-2-oleoylglycerol (≥99%) is a high-purity, well-defined triglyceride standard essential for advanced lipid research, food chemistry, and oxidative stability studies. Its structural relevance to cocoa butter and vegetable fats makes it a gold-standard compound for analytical validation, metabolic research, and triglyceride behavior investigations.

  • Pack Size:   10mg 50 mg 100 mg
Resources file not found.

Accessory Products


Add a Review

Rate this Product  
Name *
Email *

Your Review *
33447





0

0  Reviews
(0) 
(0) 
(0) 
(0) 
(0) 

Customer Review